什么是RL電路?
基本的無源線性電路部件是電阻器(R)、電感器(L)和電容器(C)。這些組件用于以四種不同的方法創建電路,如RL、LC和RLC電路。由于其出色的性能,這些電路在模擬電子產品中至關重要。一般來說,電容器和電感器比其他基本組件更受歡迎,因為它們更容易制造。
這些元素的尺寸適中,但具有很高的組件值。RL和RC電路均可用于創建單極濾波器。當電容器或電感器等電抗元件與負載串聯或并聯時,濾波器的高通或低通特性就確定了。RL電路通常用于射頻放大器和直流電源,其中電感器(L)產生直流偏置電流并防止射頻返回電源。

RL電路的定義
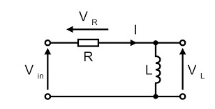
RL電路,也稱為RL濾波器、電阻-電感電路或RL網絡,是一種可以使用無源電路元件(例如電阻器和電感器)構建并連接到電流或電壓源的電路。由于在電路的理想版本中存在電阻器R,該電路將消耗類似于RC/RLC電路的能量。
這與LC電路的理想形式不同,后者由于沒有電阻器而不會消耗能量。盡管這是傳統上電路的理想形式。由于沒有電阻和連接線,即使是電感電容電路也會消耗一些能量??紤]RL電路,它使用電壓源為電阻器和電感器供電。假設電路中的電流為I(amp),流經電阻的電流為I R,流經電感的電流為I L。
由于R和L串聯連接,因此兩個組件內和電路中的電流將相同,因為I R=I L=I。V R和V L分別是電阻器和電感器兩端的壓降.當我們將基爾霍夫電壓定律應用于該電路時(即電壓降的總和必須等于施加的電壓),我們有V=V R+V L。
功率因數
RL電路,也稱為電阻電感電路,是由電阻和電感組成的電路,它們耦合到電壓或電流源。為了構建RL電路,一階RL電路主要由一個電阻器和一個電感器組成。由于存在感性負載,例如三相感應電機,該電路的功率因數較低。燈、變壓器和焊接設備的拖尾功率因數都很低。
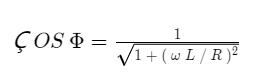
由于電感效應,RL串聯電路中的電流滯后于電壓一個角度''。因此,功率因數(PF)可以表示為滯后角的余弦。Cos?=電阻/阻抗=R/Z是功率因數。

事實上,當我們有一個像ωL>>R這樣的小功率因數時,分母中的1就變得無關緊要了。所以,Cos(?)=R/ωL。
RL電路的相量圖
RL系列電路的相量圖如下所示:

以下步驟給出了逐步繪制相量圖的說明。
電流(I)可用作起點。通過電流,V R,也稱為電阻兩端的電壓降等于IR,可以被同相拉動。感抗兩端的電壓降為V L=IX L,由于在電感電路內電流滯后電壓90度角,因此可以在電流流動之前繪制該電壓降。V R和V L是等于給定電壓V的兩個電壓矢量和降。


RL串聯電路的阻抗
串聯RL電路的阻抗抵抗電流流動,無非是整個電路的電阻(R)和感抗(XL)的組合效應。


